近日,金鹏康教授带领的污水处理与资源化创新团队在臭氧混凝互促增效机制方面的研究取得新进展,相关研究成果以The role of synergistic effects between ozone and coagulants (SOC) in the electro-hybrid ozonation-coagulation process为题发表于环境领域著名期刊Water Research (IF=7.913)。金鑫副教授为论文第一作者,硕士研究生谢新月为论文第二作者,金鹏康教授为论文通讯作者,研究得到了国家自然科学基金青年项目、陕西省教育厅重点实验室项目和陕西省教育厅新型智库的资助。
论文ID
题目:The role of synergistic effects between ozone and coagulants (SOC) in the electro-hybrid ozonation-coagulation process
题目翻译:电凝聚臭氧耦合体现中的臭氧混凝协同增效机制
期刊:Water Research
影响因子:7.913
发表时间:2020年4月
通讯作者:金鹏康
通讯作者单位:西安建筑科技大学
文章亮点
•相较于电絮凝工艺、臭氧氧化工艺和预臭氧化-电絮凝工艺,电凝聚臭氧化耦合工艺对于溶解性有机物的去除效率更高
•电凝聚臭氧化耦合工艺中存在臭氧混凝协同增效机制(SOC effects)
•在pH5条件下,电凝聚臭氧化耦合反应体系中SOC反应和Peroxone反应(O3/H2O2)是有机物去除的主要途径
•在电凝聚臭氧化耦合反应体系中,SOC机制能进一步提升活性氧物种的产生
文章简介
金鹏康教授课题组前期将臭氧氧化和混凝置于一个体系中,从而构建了臭氧-混凝耦合反应体系(Hybrid ozonation-coagulation,HOC),在该反应体系中存在臭氧和金属盐混凝剂之间的协同增效作用(SOC机制),即金属盐混凝剂可作为臭氧的催化剂,提升•OH的产率。结合课题组在污废水深度处理实际工程中的应用情况,采用电絮凝工艺替代化学混凝可以降低现场加药操作的强度以及节约占地面积,然而,对于电絮凝与臭氧的耦合工艺尚未进行系统研究,该体系中臭氧与混凝的协同增效作用仍需进行深入解析,为工程化应用提供理论支撑。
针对以上问题,在该研究中,金鹏康教授课题组提出了电凝聚臭氧耦合反应体系(electro-hybrid ozonation-coagulation,E-HOC)(图1),将臭氧氧化与电絮凝工艺放置于同一个体系内同时作用,以二级出水以及典型PPCPs布洛芬为目标污染物,探明了不同操作条件下的E-HOC体系溶解性有机物处理特性(图2),明确了该耦合体系的最佳处理条件。为了深入解析E-HOC反应体系的作用机理,本研究基于活性氧检测以及电极反应,发现了E-HOC反应体系中同样存在臭氧混凝协同增效机制。通过探究不同pH条件下溶解性有机物在E-HOC反应体系中的动力学作用特性,定量分析了溶解性有机物的多元去除途径(图3)。结合混凝剂水解物的表面活性点位甄别,探究了臭氧与原位混凝剂水解产物的共促转化机理,揭示了E-HOC体系的自由基产生机制。本研究建立了E-HOC反应体系,定量分析了SOC机制在E-HOC反应体系中的作用原理,可以为提升污废水深度处理过程中溶解性有机物去除效率提供新的技术思路。

图1 电凝聚臭氧耦合反应体系(E-HOC)装置图

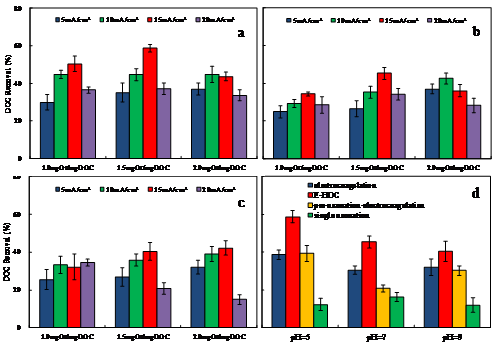
图2 不同操作参数条件下E-HOC耦合体系的DOC去除效果(a. pH5 b.pH7 c.pH9 d.不同工艺DOC去除率对比)

图3 E-HOC反应体系中布洛芬的多元去除途径分析
重要结论
•以铝板作为阳极,在最佳操作条件下(电流密度为15 mA/cm2,初始pH值为5,臭氧剂量为1.5mgO3/mgDOC),E-HOC的二级出水溶解性有机物去除率可达58.6%,优于电絮凝工艺、臭氧氧化工艺和预臭氧化-电絮凝工艺
•E-HOC中存在有机物的多元去除途径,包括电絮凝、臭氧直接氧化、•OH氧化(臭氧分解过程中的链式反应、过氧化反应和SOC机制),在初始pH值为5时,SOC反应与Peroxone反应是有机物的主要去除途径
•表面羟基是铝盐混凝剂催化臭氧化的活性点位,阳极电解产生的的铝盐混凝剂水解产物表面羟基可以与臭氧结合,进一步生成•OH,提升溶解性有机物去除效率
论文首页

原文链接
https://www.sciencedirect.com/science/article/abs/pii/S0043135420303377